What Is Cohomology?

Trishan Mondal

Abstract

We will begin this talk with the axiomatic approach towards (ordinary)Cohomology theory. We will spend most of the time on 'Cohomology Ring/algebra', It's application in Hopf division algebra, H H HHH-spaces, how Cohomology operation motivates James construction which gives us EHP Sequence. Finally, we conclude our talk with Serre finiteness conditions, which we will try to look in the aspect of Cohomology operations.

0.1. Axiomatic ordinary Cohomology

We will quickly define cohomology over a topological space X X XXX. We will define Δ q ( X ) Δ q ( X ) Delta_(q)(X)\Delta_{q}(X)Δq(X) be the free Abelian group generated by the continuous functions σ : Δ q X σ : Δ q X sigma:Delta^(q)rarr X\sigma: \Delta^{q} \rightarrow Xσ:ΔqX. Let, σ ( i ) σ ( i ) sigma^((i))\sigma^{(i)}σ(i) be the map σ : Δ q X σ : Δ q X sigma:Delta^(q)rarr X\sigma: \Delta^{q} \rightarrow Xσ:ΔqX restricted on the face opposite to the i i iii-th vertex. We can define a homomorphism q : Δ q ( X ) Δ q 1 ( X ) q : Δ q ( X ) Δ q 1 ( X ) del_(q):Delta_(q)(X)rarrDelta_(q-1)(X)\partial_{q}: \Delta_{q}(X) \rightarrow \Delta_{q-1}(X)q:Δq(X)Δq1(X) as,
q ( σ ) = i = 0 q ( 1 ) i σ ( i ) q ( σ ) = i = 0 q ( 1 ) i σ ( i ) del_(q)(sigma)=sum_(i=0)^(q)(-1)^(i)sigma^((i))\partial_{q}(\sigma)=\sum_{i=0}^{q}(-1)^{i} \sigma^{(i)}q(σ)=i=0q(1)iσ(i)
It can be verified that, q q + 1 = 0 q q + 1 = 0 del_(q)del_(q+1)=0\partial_{q} \partial_{q+1}=0qq+1=0. We will have the following sequence of free Abelian groups with q + 1 q = 0 q + 1 q = 0 del_(q+1)del_(q)=0\partial_{q+1} \partial_{q}=0q+1q=0.
q + 1 Δ q ( X ) q Δ q 1 ( X ) q 1 q + 1 Δ q ( X ) q Δ q 1 ( X ) q 1 cdotsrarr"del_(q+1)"Delta_(q)(X)rarr"del_(q)"Delta_(q-1)(X)rarr"del_(q-1)"cdots\cdots \xrightarrow{\partial_{q+1}} \Delta_{q}(X) \xrightarrow{\partial_{q}} \Delta_{q-1}(X) \xrightarrow{\partial_{q-1}} \cdotsq+1Δq(X)qΔq1(X)q1
This is called Singular Chain Complex. From this chain complex we can construct a co chain complex Δ q ( X ) := Hom ( Δ q , Z ) Δ q ( X ) := Hom Δ q , Z Delta^(q)(X):=Hom(Delta_(q),Z)\Delta^{q}(X):=\operatorname{Hom}\left(\Delta_{q}, \mathbb{Z}\right)Δq(X):=Hom(Δq,Z). The corresponding cohomology H q ( X ) H q ( X ) H^(q)(X)H^{q}(X)Hq(X) is called Singular cohomology of X X XXX. If we have a subspace A X A X A sub XA \subset XAX then Δ q ( X , A ) := Hom ( Δ q ( X ) / Δ q ( A ) , Z ) Δ q ( X , A ) := Hom Δ q ( X ) / Δ q ( A ) , Z Delta^(q)(X,A):=Hom(Delta^(q)(X)//Delta^(q)(A),Z)\Delta^{q}(X, A):=\operatorname{Hom}\left(\Delta^{q}(X) / \Delta^{q}(A), \mathbb{Z}\right)Δq(X,A):=Hom(Δq(X)/Δq(A),Z) forms a co-chain complex, the corresponding cohomology H q ( X ; A ) H q ( X ; A ) H^(q)(X;A)H^{q}(X ; A)Hq(X;A) is called Cohomology of pairs ( X , A ) ( X , A ) (X,A)(X, A)(X,A). Singular Cohomology satisfy the following properties, [ A X ] [ A X ] [AX][\mathrm{AX}][AX]
(AX0) H q ( X ; A ) H q ( X ; A ) H^(q)(X;A)H^{q}(X ; A)Hq(X;A) is a contravariant functor with, a natural map δ : H q ( A ) H q + 1 ( X , A ) δ : H q ( A ) H q + 1 ( X , A ) delta:H^(q)(A)rarrH^(q+1)(X,A)\delta: H^{q}(A) \rightarrow H^{q+1}(X, A)δ:Hq(A)Hq+1(X,A).
(DIMENSION) If X X XXX is a point then H 0 ( X ) = Z H 0 ( X ) = Z H^(0)(X)=ZH^{0}(X)=\mathbb{Z}H0(X)=Z and trivial for other dimension.
(EXACTNESS) There is a Long exact sequence,
H q ( X , A ) H q ( X ) H q ( A ) δ H q + 1 ( X , A ) H q ( X , A ) H q ( X ) H q ( A ) δ H q + 1 ( X , A ) cdotsH^(q)(X,A)rarrH^(q)(X)rarrH^(q)(A)rarr"delta"H^(q+1)(X,A)cdots\cdots H^{q}(X, A) \rightarrow H^{q}(X) \rightarrow H^{q}(A) \xrightarrow{\delta} H^{q+1}(X, A) \cdotsHq(X,A)Hq(X)Hq(A)δHq+1(X,A)
(EXCISION) U A X U A X U sube A sube XU \subseteq A \subseteq XUAX be a closed set in A A AAA then the inclusion ( X U , A U ) ( X , A ) ( X U , A U ) ( X , A ) (X-U,A-U)↪(X,A)(X-U, A-U) \hookrightarrow(X, A)(XU,AU)(X,A) will give us isomorphism in cohomology.
H q ( X , A ) H q ( X U , A U ) H q ( X , A ) H q ( X U , A U ) H^(q)(X,A)≃H^(q)(X-U,A-U)H^{q}(X, A) \simeq H^{q}(X-U, A-U)Hq(X,A)Hq(XU,AU)
(ADDITIVE) If ( X i , A i ) X i , A i (X_(i),A_(i))\left(X_{i}, A_{i}\right)(Xi,Ai) are disjoint pair then
H q ( X i , A i ) H q ( X i , A i ) H q X i , A i H q X i , A i H^(q)(⊔X_(i),⊔A_(i))≃prodH^(q)(X_(i),A_(i))H^{q}\left(\sqcup X_{i}, \sqcup A_{i}\right) \simeq \prod H^{q}\left(X_{i}, A_{i}\right)Hq(Xi,Ai)Hq(Xi,Ai)
(HOMOTOPY) If f : X Y f : X Y f:X rarr Yf: X \rightarrow Yf:XY is a homotopy equivalence it will induce isomorphism in cohomology groups.
Any contravariant functors E q E q E^(q)E^{q}Eq from homotopy category of pairs to modules over Z Z Z\mathbb{Z}Z satisfy the above properties [ A X ] [ A X ] [AX][\mathrm{AX}][AX], will give us a cohomology theory which is called ordinary cohomology theory. Any cohomology theory over a fixed coefficient ring R R RRR are equivalent (this is an application of Acyclic model theorem). (refer report)

0.2. Cohomology Ring

One of the very important feature of Cohomology is that, it naturally gives us a product which helps us to give the H ( X ) H ( X ) o+H^(**)(X)\oplus H^{*}(X)H(X) a graded ring structure. (Every co-chain complex has coefficient in Z Z Z\mathbb{Z}Z unless anything mentioned) For a topological space X X XXX consider the diagonal map, Δ : X X × X Δ : X X × X Delta:X rarr X xx X\Delta: X \rightarrow X \times XΔ:XX×X. For each k k kkk It will give us a map in co-chain complex C k ( X × X ) Δ C k ( X ) C k ( X × X ) Δ C k ( X ) C^(k)(X xx X)rarr"Delta^(**)"C^(k)(X)C^{k}(X \times X) \xrightarrow{\Delta^{*}} C^{k}(X)Ck(X×X)ΔCk(X). Using Künneth formula we have,
p + q = k C p ( X ) C q ( X ) k _ C k ( X × X ) Δ C k ( X ) p + q = k C p ( X ) C q ( X ) k _ C k ( X × X ) Δ C k ( X ) bigoplus_(p+q=k)C^(p)(X)oxC^(q)(X)rarr_("≃")^("k_")C^(k)(X xx X)rarr"Delta^(**)"C^(k)(X)\bigoplus_{p+q=k} C^{p}(X) \otimes C^{q}(X) \xrightarrow[\simeq]{\underline{k}} C^{k}(X \times X) \xrightarrow{\Delta^{*}} C^{k}(X)p+q=kCp(X)Cq(X)k_Ck(X×X)ΔCk(X)
Consider R = C k ( X ) R = C k ( X ) R=o+C^(k)(X)R=\oplus C^{k}(X)R=Ck(X). Note that if a C p ( X ) , b C q ( X ) a C p ( X ) , b C q ( X ) a inC^(p)(X),b inC^(q)(X)a \in C^{p}(X), b \in C^{q}(X)aCp(X),bCq(X) then Δ k ( a b ) C p + q ( X ) Δ k ( a b ) C p + q ( X ) Delta^(**)@k(a ox b)inC^(p+q)(X)\Delta^{*} \circ k(a \otimes b) \in C^{p+q}(X)Δk(ab)Cp+q(X). Thus we can give R R RRR a graded ring structure with the product a b = Δ k ( a b ) a b = Δ k ( a b ) a⌣b=Delta^(**)@k(a ox b)a \smile b=\Delta^{*} \circ k(a \otimes b)ab=Δk(ab). It can be shown that
δ ( a b ) = δ a b + ( 1 ) p a δ b δ ( a b ) = δ a b + ( 1 ) p a δ b delta(a⌣b)=delta a⌣b+(-1)^(p)a⌣delta b\delta(a \smile b)=\delta a \smile b+(-1)^{p} a \smile \delta bδ(ab)=δab+(1)paδb
thus this product respects both co-boundary and co-cycles, so it will induce a product (hence a graded ring structure) in Cohomology-groups. We call this ring Cohomology Ring and denote it by H ( X ) = H k ( X ) H ( X ) = H k ( X ) H^(**)(X)=o+H^(k)(X)H^{*}(X)=\oplus H^{k}(X)H(X)=Hk(X). We will now look at some examples. For computational purpose we will use Poincaré duality.
Theorem 5.1. (Poincaré Duality) If M M MMM is a n-dimensional, closed, orientable manifold with fundamental class [ M ] [ M ] [M][M][M], then the following bilinear pairing is non-degenerate,
H k ( M ; R ) × H n k ( M ; R ) R H k ( M ; R ) × H n k ( M ; R ) R H^(k)(M;R)xxH^(n-k)(M;R)rarr RH^{k}(M ; R) \times H^{n-k}(M ; R) \rightarrow RHk(M;R)×Hnk(M;R)R
given by ( α , β ) ( α β ) ( [ M ] ) ( α , β ) ( α β ) ( [ M ] ) (alpha,beta)|->(alpha⌣beta)([M])(\alpha, \beta) \mapsto(\alpha \smile \beta)([M])(α,β)(αβ)([M]).
The above theorem tells us for every α H k ( M ; k ) α H k ( M ; k ) alpha inH^(k)(M;k)\alpha \in H^{k}(M ; k)αHk(M;k) there is a β H n k ( M ; k ) β H n k ( M ; k ) beta inH^(n-k)(M;k)\beta \in H^{n-k}(M ; k)βHnk(M;k), such that α β α β alpha⌣beta\alpha \smile \betaαβ is generator of H n ( M ; k ) H n ( M ; k ) H^(n)(M;k)H^{n}(M ; k)Hn(M;k). Where k k kkk is a field. Now we will work out some examples.
Example 1. The first example is R P n R P n RP^(n)\mathbb{R} P^{n}RPn. Orientation depends on the units of the underlying coefficient ring. If we take underlying ring tobe Z / 2 Z Z / 2 Z Z//2Z\mathbb{Z} / 2 \mathbb{Z}Z/2Z (which is also a field), then there is only one choice of generator and hence R P n R P n RP^(n)\mathbb{R} P^{n}RPn is an orientable manifold with coefficients in the above ring. It can be computed via universal coefficient theorem that H k ( R P n ; Z / 2 Z ) = Z / 2 Z H k R P n ; Z / 2 Z = Z / 2 Z H^(k)(RP^(n);Z//2Z)=Z//2ZH^{k}\left(\mathbb{R} P^{n} ; \mathbb{Z} / 2 \mathbb{Z}\right)=\mathbb{Z} / 2 \mathbb{Z}Hk(RPn;Z/2Z)=Z/2Z for k n k n k <= nk \leq nkn It is also known that R P n R P n RP^(n)\mathbb{R} P^{n}RPn admits a filtration (this gives C W C W CW\mathrm{CW}CW-structure),
{ p t } R P 1 R P k R P n { p t } R P 1 R P k R P n {pt}↪RP^(1)↪cdotsRP^(k)cdots↪RP^(n)\{\mathrm{pt}\} \hookrightarrow \mathbb{R} P^{1} \hookrightarrow \cdots \mathbb{R} P^{k} \cdots \hookrightarrow \mathbb{R} P^{n}{pt}RP1RPkRPn
The inclusion R P k R P k + 1 R P k R P k + 1 RP^(k)↪RP^(k+1)\mathbb{R} P^{k} \hookrightarrow \mathbb{R} P^{k+1}RPkRPk+1 gives isomorphism in cohomology for i k i k i <= ki \leq kik. Thus if α α alpha\alphaα is a generator of H 1 ( R P n ; Z / 2 Z ) , α k H 1 R P n ; Z / 2 Z , α k H^(1)(RP^(n);Z//2Z),alpha^(k)H^{1}\left(\mathbb{R} P^{n} ; \mathbb{Z} / 2 \mathbb{Z}\right), \alpha^{k}H1(RPn;Z/2Z),αk will be generator of H k ( R P n ; Z / 2 Z ) H k R P n ; Z / 2 Z H^(k)(RP^(n);Z//2Z)H^{k}\left(\mathbb{R} P^{n} ; \mathbb{Z} / 2 \mathbb{Z}\right)Hk(RPn;Z/2Z) and α n + 1 = 0 α n + 1 = 0 alpha^(n+1)=0\alpha^{n+1}=0αn+1=0 as there is no non-trivial cohomology above dimension n n nnn. Thus the cohomology ring is F 2 [ α ] / ( α n + 1 ) F 2 [ α ] / α n + 1 F_(2)[alpha]//(alpha^(n+1))\mathbb{F}_{2}[\alpha] /\left(\alpha^{n+1}\right)F2[α]/(αn+1).
Example 2. Following the same way as above we can compute cohomology ring of C P n C P n CP^(n)\mathbb{C} P^{n}CPn and H P n H P n HP^(n)\mathbb{H} P^{n}HPn.
Example 3. (Torus) The above examples were sort of abstractly done. But we will understand a case more geometrically. Consider, T = S 1 × S 1 T = S 1 × S 1 T=S^(1)xxS^(1)T=\mathbb{S}^{1} \times \mathbb{S}^{1}T=S1×S1
With this simplicial decomposition of T T TTT, we can compute the cohomology. It will be
H k ( T ; Z ) { Z if k = 0 , 2 Z Z k = 1 0 otherwise H k ( T ; Z ) Z       if  k = 0 , 2 Z Z      k = 1 0       otherwise  H^(k)(T;Z)≃{[Z," if "k=0","2],[Zo+Z,k=1],[0," otherwise "]:}H^{k}(T ; \mathbb{Z}) \simeq \begin{cases}\mathbb{Z} & \text { if } k=0,2 \\ \mathbb{Z} \oplus \mathbb{Z} & k=1 \\ 0 & \text { otherwise }\end{cases}Hk(T;Z){Z if k=0,2ZZk=10 otherwise 
Here let, α α alpha\alphaα and β β beta\betaβ be the generator of H 1 ( T ) H 1 ( T ) H^(1)(T)H^{1}(T)H1(T), then α α alpha\alphaα and β β beta\betaβ are such that they takes value 1 on sides a a aaa and value 0 on sides b b bbb. Some computation will give us
α β [ 012 ] = 1 α β [ 032 ] = 0 α α [ 012 ] = 0 β α [ 012 ] = 1 β β [ 032 ] = 0 α β [ 012 ] = 1 α β [ 032 ] = 0 α α [ 012 ] = 0 β α [ 012 ] = 1 β β [ 032 ] = 0 {:[alpha⌣beta[012]=1],[alpha⌣beta[032]=0],[alpha⌣alpha[012]=0],[beta⌣alpha[012]=-1],[vdots],[beta⌣beta[032]=0]:}\begin{aligned} \alpha \smile \beta[012] & =1 \\ \alpha \smile \beta[032] & =0 \\ \alpha \smile \alpha[012] & =0 \\ \beta \smile \alpha[012] & =-1 \\ \vdots & \\ \beta \smile \beta[032] & =0 \end{aligned}αβ[012]=1αβ[032]=0αα[012]=0βα[012]=1ββ[032]=0
which means H ( T ) H ( T ) H^(**)(T)H^{*}(T)H(T) is a Z Z Z\mathbb{Z}Z-module with generator α , β α , β alpha,beta\alpha, \betaα,β and α β = β α , α 2 , β 2 = 0 α β = β α , α 2 , β 2 = 0 alpha beta=-beta alpha,alpha^(2),beta^(2)=0\alpha \beta=-\beta \alpha, \alpha^{2}, \beta^{2}=0αβ=βα,α2,β2=0. This is called exterior algebra denoted as Λ Z ( α , β ) Λ Z ( α , β ) Lambda_(Z)(alpha,beta)\Lambda_{\mathbb{Z}}(\alpha, \beta)ΛZ(α,β).
Example 4. In general for X = k S 1 X = k S 1 X=prod_(k)S^(1)X=\prod_{k} \mathbb{S}^{1}X=kS1 will be the exterior algebra Λ Z [ x 1 , , x k ] Λ Z x 1 , , x k Lambda_(Z)[x_(1),cdots,x_(k)]\Lambda_{\mathbb{Z}}\left[x_{1}, \cdots, x_{k}\right]ΛZ[x1,,xk] which is a Z Z Z\mathbb{Z}Z module generated by { x i } x i {x_(i)}\left\{x_{i}\right\}{xi} and with the relation x i x j x i x j x_(i)x_(j)x_{i} x_{j}xixj is x j x i x j x i -x_(j)x_(i)-x_{j} x_{i}xjxi if i j i j i!=ji \neq jij and 0 if i = j i = j i=ji=ji=j.
Some important properties of cohomology ring
  • If X , Y X , Y X,YX, YX,Y are two topological spaces then H ( X × Y ) = H ( X ) H ( Y ) H ( X × Y ) = H ( X ) H ( Y ) H^(**)(X xx Y)=H^(**)(X)oxH^(**)(Y)H^{*}(X \times Y)=H^{*}(X) \otimes H^{*}(Y)H(X×Y)=H(X)H(Y).
  • If X , Y X , Y X,YX, YX,Y are two topological spaces, H ( X Y ) = H ( X ) × H ( Y ) H ( X Y ) = H ( X ) × H ( Y ) H^(**)(X vv Y)=H^(**)(X)xxH^(**)(Y)H^{*}(X \vee Y)=H^{*}(X) \times H^{*}(Y)H(XY)=H(X)×H(Y)
Example 5. As an example of above properties consider X , Y = R P X , Y = R P X,Y=RP^(oo)X, Y=\mathbb{R} P^{\infty}X,Y=RP, then with coefficients in Z 2 Z 2 Z_(2)\mathbb{Z}_{2}Z2 we can say H ( X × Y ) = Z 2 [ x ] Z 2 [ y ] = Z 2 [ x , y ] H ( X × Y ) = Z 2 [ x ] Z 2 [ y ] = Z 2 [ x , y ] H^(**)(X xx Y)=Z_(2)[x]oxZ_(2)[y]=Z_(2)[x,y]H^{*}(X \times Y)=\mathbb{Z}_{2}[x] \otimes \mathbb{Z}_{2}[y]=\mathbb{Z}_{2}[x, y]H(X×Y)=Z2[x]Z2[y]=Z2[x,y].
Now we will explore some crucial applications of this product structure.

0.3. Application 1: Hopf Invariant And H H HHH-Spaces

Now we will talk about the case when R n R n R^(n)\mathbb{R}^{n}Rn can be a division algebra. The following theorem will tell us R n R n R^(n)\mathbb{R}^{n}Rn could be a division algebra
Theorem 5.2. If R n R n R^(n)\mathbb{R}^{n}Rn has a division algebra structure over field R R R\mathbb{R}R, then R R R\mathbb{R}R must be a power of 2
Proof. For a division algebra structure we must have x a x x a x x|->axx \mapsto a xxax and x x a x x a x|->xax \mapsto x axxa are linear isomorphism. Now the multiplication in R n R n R^(n)\mathbb{R}^{n}Rn will give rise to a map t : R P n 1 × R P n 1 R P n 1 t : R P n 1 × R P n 1 R P n 1 t:RP^(n-1)xxRP^(n-1)rarrRP^(n-1)t: \mathbb{R} P^{n-1} \times \mathbb{R} P^{n-1} \rightarrow \mathbb{R} P^{n-1}t:RPn1×RPn1RPn1. It is a homeomorphism when restricted to { x } × R P n 1 { x } × R P n 1 {x}xxRP^(n-1)\{x\} \times \mathbb{R} P^{n-1}{x}×RPn1 and R P n 1 × { y } R P n 1 × { y } RP^(n-1)xx{y}\mathbb{R} P^{n-1} \times\{y\}RPn1×{y}. Now,
t : Z 2 [ α ] / ( α n ) Z 2 [ α 1 , α 2 ] / ( α 1 n , α 2 n ) t : Z 2 [ α ] / α n Z 2 α 1 , α 2 / α 1 n , α 2 n t^(**):Z_(2)[alpha]//(alpha^(n))rarrZ_(2)[alpha_(1),alpha_(2)]//(alpha_(1)^(n),alpha_(2)^(n))t^{*}: \mathbb{Z}_{2}[\alpha] /\left(\alpha^{n}\right) \rightarrow \mathbb{Z}_{2}\left[\alpha_{1}, \alpha_{2}\right] /\left(\alpha_{1}^{n}, \alpha_{2}^{n}\right)t:Z2[α]/(αn)Z2[α1,α2]/(α1n,α2n)
tells us t ( α ) = k 1 α 1 + k 2 α 2 t ( α ) = k 1 α 1 + k 2 α 2 t^(**)(alpha)=k_(1)alpha_(1)+k_(2)alpha_(2)t^{*}(\alpha)=k_{1} \alpha_{1}+k_{2} \alpha_{2}t(α)=k1α1+k2α2. Now, R P n 1 R P n 1 × R P n 1 R P n 1 R P n 1 × R P n 1 RP^(n-1)↪RP^(n-1)xxRP^(n-1)\mathbb{R} P^{n-1} \hookrightarrow \mathbb{R} P^{n-1} \times \mathbb{R} P^{n-1}RPn1RPn1×RPn1 in two ways. First, a ( x , a ) a ( x , a ) a|->(x,a)a \mapsto(x, a)a(x,a) and second one a ( a , y ) a ( a , y ) a|->(a,y)a \mapsto(a, y)a(a,y). Thus we can say the first map, maps α 1 0 α 1 0 alpha_(1)rarr0\alpha_{1} \rightarrow 0α10 and alpha 2 2 _(2){ }_{2}2 to zero. Thus taking composition with t t t^(**)t^{*}t will tell us α k 2 α α k 2 α alpha|->k_(2)alpha\alpha \mapsto k_{2} \alphaαk2α since this composition is isomorphism it must be identity, and hence k 2 = 1 k 2 = 1 k_(2)=1k_{2}=1k2=1 similarly k 1 = 1 k 1 = 1 k_(1)=1k_{1}=1k1=1 and thus t ( α ) = α 1 + α 2 t ( α ) = α 1 + α 2 t^(**)(alpha)=alpha_(1)+alpha_(2)t^{*}(\alpha)=\alpha_{1}+\alpha_{2}t(α)=α1+α2. Since α n α n alpha^(n)\alpha^{n}αn is zero we must have ( α 1 + α 2 ) n α 1 + α 2 n (alpha_(1)+alpha_(2))^(n)\left(\alpha_{1}+\alpha_{2}\right)^{n}(α1+α2)n is zero in other words ( n k ) = 0 n k = 0 ([n],[k])=0\left(\begin{array}{l}n \\ k\end{array}\right)=0(nk)=0 for each k k kkk modulo 2 . It can be easily proved that n = 2 m n = 2 m n=2^(m)n=2^{m}n=2m for some m m mmm using Number theory argument.
In-fact we can say more about n n nnn. From the following discussion we will conclude R n R n R^(n)\mathbb{R}^{n}Rn is division algebra over R R R\mathbb{R}R only for n = 1 , 2 , 4 , 8 n = 1 , 2 , 4 , 8 n=1,2,4,8n=1,2,4,8n=1,2,4,8.
Let, f : S 2 n 1 S n f : S 2 n 1 S n f:S^(2n-1)rarrS^(n)f: \mathbb{S}^{2 n-1} \rightarrow \mathbb{S}^{n}f:S2n1Sn be a continous map and consider the adjunction space X = S n f D 2 n X = S n f D 2 n X=S^(n)uu_(f)D^(2n)X=\mathbb{S}^{n} \cup_{f} D^{2 n}X=SnfD2n. If we compute the cohomology of X X XXX it will be Z Z Z\mathbb{Z}Z for index n n nnn and 2 n 2 n 2n2 n2n and it will be zero for other indices. In the cohomology ring H ( X ) H ( X ) H^(**)(X)H^{*}(X)H(X) if we take α H n ( X ) α H n ( X ) alpha inH^(n)(X)\alpha \in H^{n}(X)αHn(X) to be the generator of this group and β β beta\betaβ to be the generator of H 2 n ( X ) H 2 n ( X ) H^(2n)(X)H^{2 n}(X)H2n(X). Then we must have α 2 = k β α 2 = k β alpha^(2)=k beta\alpha^{2}=k \betaα2=kβ the constant k k kkk will depends only on the homotopy class of f f fff we call it h ( f ) h ( f ) h(f)h(f)h(f). This h ( f ) h ( f ) h(f)h(f)h(f) is known as Hopf invariant. Note that this gives a map(homomorphism) h : π 2 n 1 ( S n ) Z h : π 2 n 1 S n Z h:pi_(2n-1)(S^(n))rarrZh: \pi_{2 n-1}\left(\mathbb{S}^{n}\right) \rightarrow \mathbb{Z}h:π2n1(Sn)Z.
Question 1 ? For which n n nnn there exist a map f : S 2 n 1 S n f : S 2 n 1 S n f:S^(2n-1)rarrS^(n)f: \mathbb{S}^{2 n-1} \rightarrow \mathbb{S}^{n}f:S2n1Sn such that h ( f ) h ( f ) h(f)h(f)h(f) is 1 ?
For example treat S 3 C 2 S 3 C 2 S^(3)subeC^(2)\mathbb{S}^{3} \subseteq \mathbb{C}^{2}S3C2, such that S 3 = { ( z 1 , z 2 ) : | z 1 | 2 + | z 2 | 2 = 1 } S 3 = z 1 , z 2 : z 1 2 + z 2 2 = 1 S^(3)={(z_(1),z_(2)):|z_(1)|^(2)+|z_(2)|^(2)=1}\mathbb{S}^{3}=\left\{\left(z_{1}, z_{2}\right):\left|z_{1}\right|^{2}+\left|z_{2}\right|^{2}=1\right\}S3={(z1,z2):|z1|2+|z2|2=1} and there is a natural projection from S 3 C P 1 S 3 C P 1 S^(3)rarrCP^(1)\mathbb{S}^{3} \rightarrow \mathbb{C} P^{1}S3CP1. Call this projection map π : S 3 S 2 π : S 3 S 2 pi:S^(3)rarrS^(2)\pi: \mathbb{S}^{3} \rightarrow \mathbb{S}^{2}π:S3S2. It can be shown this h h hhh has fibre S 1 S 1 S^(1)\mathbb{S}^{1}S1 at each point. In other words S 1 S 3 π S 2 S 1 S 3 π S 2 S^(1)↪S^(3)rarr"pi"S^(2)\mathbb{S}^{1} \hookrightarrow \mathbb{S}^{3} \xrightarrow{\pi} \mathbb{S}^{2}S1S3πS2 is a Fibre-Bundle. It can be shown, π π pi\piπ has hopf invariant 1 (the easiest way to do is to use the equivalence of De-Rahm cohomology to ordinary cohomology theories). For which n n nnn such map exist with hopf invarient 1 ? It was a very open problem untill J.F.Admas (1960) proved, it can exist only for n = 1 , 2 , 4 , 8 n = 1 , 2 , 4 , 8 n=1,2,4,8n=1,2,4,8n=1,2,4,8. We will now look into two more problems. He proved it using K K KKK-theory. There is one more proof using steenrod operations and existence of non-trivial class in Ext A 1 [ F 2 , F 2 [ n ] ] Ext A 1 F 2 , F 2 [ n ] Ext_(A)^(1)[F_(2),F_(2)[n]]\operatorname{Ext}_{A}^{1}\left[\mathbb{F}_{2}, \mathbb{F}_{2}[n]\right]ExtA1[F2,F2[n]], Adams spectral sequence.
Definition 5.3. (H-Space) An H-space consists of a topological space X X XXX, together with an element e e eee of X X XXX and a continuous map μ : X × X X μ : X × X X mu:X xx X rarr X\mu: X \times X \rightarrow Xμ:X×XX, such that μ ( e , e ) = e μ ( e , e ) = e mu(e,e)=e\mu(e, e)=eμ(e,e)=e and the maps x μ ( x , e ) x μ ( x , e ) x|->mu(x,e)x \mapsto \mu(x, e)xμ(x,e) and x μ ( e , x ) x μ ( e , x ) x|->mu(e,x)x \mapsto \mu(e, x)xμ(e,x) are both homotopic to the identity map through maps sending e e eee to e e eee.
This is generalization of the definition of topological groups. We know, S 0 , S 1 , S 3 S 0 , S 1 , S 3 S^(0),S^(1),S^(3)\mathbb{S}^{0}, \mathbb{S}^{1}, \mathbb{S}^{3}S0,S1,S3 admits a topological group structure from reals, complex, quaternions and S 7 S 7 S^(7)\mathbb{S}^{7}S7 admits a H H HHH-space structure coming from octonions, it's not a group because the multiplication of octonions are not associative.
Question 2 ? for which n , S n 1 n , S n 1 n,S^(n-1)n, \mathbb{S}^{n-1}n,Sn1 admits a H H HHH-space structure?
Surprisingly, for n = 1 , 2 , 4 , 8 n = 1 , 2 , 4 , 8 n=1,2,4,8n=1,2,4,8n=1,2,4,8 the above Question can be true. In-fact it can be shown Question 1 and Question 2 are equivalent. Thre is one more fact,
Lemma 5.4. If R n R n R^(n)\mathbb{R}^{n}Rn had a real division algebra structure then, for that n n nnn there exist a Hopf invariant 1 map ( S n 1 S n 1 S^(n-1)\mathbb{S}^{n-1}Sn1 is H H HHH-space).
Proof of the lemma is not very hard to prove. Let R n R n R^(n)\mathbb{R}^{n}Rn be a real division algebra and e e eee be a vector of 11 nit norm. We can compose the multiplication R n × R n R n R n × R n R n R^(n)xxR^(n)rarrR^(n)\mathbb{R}^{n} \times \mathbb{R}^{n} \rightarrow \mathbb{R}^{n}Rn×RnRn with an invertible map R n R n R n R n R^(n)rarrR^(n)\mathbb{R}^{n} \rightarrow \mathbb{R}^{n}RnRn so that e 2 = e e 2 = e e^(2)=ee^{2}=ee2=e. With this modified multiplication, let α ( x ) = c x α ( x ) = c x alpha(x)=cx\alpha(x)=c xα(x)=cx and β ( x ) = x e β ( x ) = x e beta(x)=xe\beta(x)=x eβ(x)=xe We can then define a new division algebra product x y = α 1 ( x ) β 1 ( y ) x y = α 1 ( x ) β 1 ( y ) x o.y=alpha^(-1)(x)beta^(-1)(y)x \odot y=\alpha^{-1}(x) \beta^{-1}(y)xy=α1(x)β1(y). Then x = x x = x o.o.x=x\odot \odot x=xx=x and x e = x x e = x x o.e=xx \odot e=xxe=x. This product has no zero divisors, so the map ( x , y ) ( x y ) / | x y | ( x , y ) ( x y ) / | x y | (x,y)|->(x o.y)//|x o.y|(x, y) \mapsto(x \odot y) /|x \odot y|(x,y)(xy)/|xy| defires an H-space structure on S n 1 R n S n 1 R n S^(n-1)subR^(n)S^{n-1} \subset \mathbb{R}^{n}Sn1Rn with identity e e eee.
Thus by Hopf invariant one problem we can say n = 1 , 2 , 4 , 8 n = 1 , 2 , 4 , 8 n=1,2,4,8n=1,2,4,8n=1,2,4,8 are the only case when R n R n R^(n)\mathbb{R}^{n}Rn can-be division algebra and we know reals, complex, quaternions, octonions are the ones.

0.4. Application 2: motivation towards EHP Sequence

We have seen the cohomology rings of R P , C P R P , C P RP^(oo),CP^(oo)\mathbb{R} P^{\infty}, \mathbb{C} P^{\infty}RP,CP are polynomial ring. If we look at the C W C W CW\mathrm{CW}CW structure of C P C P CP^(oo)\mathbb{C} P^{\infty}CP it consist of one cell in each even dimension and thus the C W C W CW\mathrm{CW}CW cohomology is Z Z Z\mathbb{Z}Z
at every even dimension. The cohomology ring which is Z [ x ] Z [ x ] Z[x]\mathbb{Z}[x]Z[x] is basically direct sum of these copies of Z Z Z\mathbb{Z}Z. James tried to generalize this construction to S 2 n S 2 n S^(2n)\mathbb{S}^{2 n}S2n so that we get a new space J S 2 n J S 2 n JS^(2n)J \mathbb{S}^{2 n}JS2n, which has a cohomology ring Z [ x ] Z [ x ] Z[x]\mathbb{Z}[x]Z[x]. It turns out that the space he constructed is almost a polynomial ring on Z , H ( J S 2 n ) Z , H J S 2 n Z,H^(**)(JS^(2n))\mathbb{Z}, H^{*}\left(J \mathbb{S}^{2 n}\right)Z,H(JS2n) is a Z Z Z\mathbb{Z}Z module with { x i / i ! } x i / i ! {x^(i)//i!}\left\{x^{i} / i !\right\}{xi/i!} are the generator. We denote this module as Γ Z [ x ] Γ Z [ x ] Gamma_(Z)[x]\Gamma_{\mathbb{Z}}[x]ΓZ[x]. If the coefficients were in Q Q Q\mathbb{Q}Q it must have been the polynomial ring Q [ x ] Q [ x ] Q[x]\mathbb{Q}[x]Q[x].
James's construction : Let, X X XXX is a CW complex with a base point e e eee. Let, J i X J i X J_(i)XJ_{i} XJiX be the quotient space of X i ( i X i i X^(i)(i:}X^{i}\left(i\right.Xi(i-many products of X X XXX ) under the equivalence relation, ( x 1 , , x k , e , , x i ) x 1 , , x k , e , , x i (x_(1),cdots,x_(k),e,cdots,x_(i))∼\left(x_{1}, \cdots, x_{k}, e, \cdots, x_{i}\right) \sim(x1,,xk,e,,xi) ( x 1 , , e , x k , , x i ) x 1 , , e , x k , , x i (x_(1),cdots,e,x_(k),cdots,x_(i))\left(x_{1}, \cdots, e, x_{k}, \cdots, x_{i}\right)(x1,,e,xk,,xi). There is a natural inclusion J i X J i + 1 X J i X J i + 1 X J_(i)X↪J_(i+1)XJ_{i} X \hookrightarrow J_{i+1} XJiXJi+1X, which is given by ( x 1 , , x i ) x 1 , , x i (x_(1),cdots,x_(i))rarr\left(x_{1}, \cdots, x_{i}\right) \rightarrow(x1,,xi) ( x 1 , , e , , x i ) x 1 , , e , , x i (x_(1),cdots,e,cdots,x_(i))\left(x_{1}, \cdots, e, \cdots, x_{i}\right)(x1,,e,,xi). Now if we take colimit under this inclusion we will get a space,
J X := colim ( J i X J i + 1 X ) J X := colim J i X J i + 1 X JX:=colim(cdotsJ_(i)X↪J_(i+1)X cdots)J X:=\operatorname{colim}\left(\cdots J_{i} X \hookrightarrow J_{i+1} X \cdots\right)JX:=colim(JiXJi+1X)
This gives us a monoid structure on J X J X JXJ XJX.
We will focus on the case X = S 2 n X = S 2 n X=S^(2n)X=\mathbb{S}^{2 n}X=S2n. In this case J X J X JXJ XJX has a CW structure with only one cell at the 2 k n 2 k n 2kn2 k n2kn dimension for 0 k 0 k 0 <= k0 \leq k0k. Thus, if we compute the cellular cohomology of J X J X JXJ XJX it will be isomorphic to Z Z Z\mathbb{Z}Z for the indices 2 k n 2 k n 2kn2 k n2kn, and J k S 2 n J k S 2 n J_(k)S^(2n)J_{k} \mathbb{S}^{2 n}JkS2n is the 2 n k 2 n k 2nk2 n k2nk-dimension skeleta in CW decomposition of J X J X JXJ XJX. Thus the cohomology ring is a Z Z Z\mathbb{Z}Z module with countably many generators. Let, x k x k x_(k)x_{k}xk be the generator of H 2 k n ( J X ; Z ) H 2 k n ( J X ; Z ) H^(2kn)(JX;Z)H^{2 k n}(J X ; \mathbb{Z})H2kn(JX;Z). Now we will establish relations between these x k x k x_(k)x_{k}xk 's. Let, q k : X k J k X q k : X k J k X q_(k):X^(k)rarrJ_(k)Xq_{k}: X^{k} \rightarrow J_{k} Xqk:XkJkX be the quotient map. Every cell in J k X J k X J_(k)XJ_{k} XJkX is homeomorphic to some cells in X k X k X^(k)X^{k}Xk. It is not hard to note q q qqq is a cellular map. In cohomology ring it will induce a map preserving degree
q k : H ( J k X ; Z ) H ( X k ; Z ) q k : H J k X ; Z H X k ; Z q_(k)^(**):H^(**)(J_(k)X;Z)rarrH^(**)(X^(k);Z)q_{k}^{*}: H^{*}\left(J_{k} X ; \mathbb{Z}\right) \rightarrow H^{*}\left(X^{k} ; \mathbb{Z}\right)qk:H(JkX;Z)H(Xk;Z)
Note that H ( X k ; Z ) Z [ α 1 , , α k ] / ( α 1 2 , , α k 2 ) H X k ; Z Z α 1 , , α k / α 1 2 , , α k 2 H^(**)(X^(k);Z)≃Z[alpha_(1),cdots,alpha_(k)]//(alpha_(1)^(2),cdots,alpha_(k)^(2))H^{*}\left(X^{k} ; \mathbb{Z}\right) \simeq \mathbb{Z}\left[\alpha_{1}, \cdots, \alpha_{k}\right] /\left(\alpha_{1}^{2}, \cdots, \alpha_{k}^{2}\right)H(Xk;Z)Z[α1,,αk]/(α12,,αk2), so q k ( x 1 ) q k x 1 q_(k)^(**)(x_(1))q_{k}^{*}\left(x_{1}\right)qk(x1) must be t i α i . q k t i α i . q k sumt_(i)alpha_(i).q_(k)^(**)\sum t_{i} \alpha_{i} . q_{k}^{*}tiαi.qk identifies all the 2 n 2 n 2n2 n2n-cell of X k X k X^(k)X^{k}Xk to get one 2 n 2 n 2n2 n2n-cell. Thus t i = 1 t i = 1 t_(i)=1t_{i}=1ti=1. We will must have q k ( x k ) = α 1 α k q k x k = α 1 α k q_(k)^(**)(x_(k))=alpha_(1)cdotsalpha_(k)q_{k}^{*}\left(x_{k}\right)=\alpha_{1} \cdots \alpha_{k}qk(xk)=α1αk. Now note that,
q k ( x 1 m ) = ( α 1 + + α k ) k = ( k ) ! α 1 α k = q k ( x k ) q k x 1 m = α 1 + + α k k = ( k ) ! α 1 α k = q k x k {:[q_(k)^(**)(x_(1)^(m))=(alpha_(1)+cdots+alpha_(k))^(k)],[=(k)!alpha_(1)cdotsalpha_(k)=q_(k)^(**)(x_(k))]:}\begin{aligned} q_{k}^{*}\left(x_{1}^{m}\right) & =\left(\alpha_{1}+\cdots+\alpha_{k}\right)^{k} \\ & =(k) ! \alpha_{1} \cdots \alpha_{k}=q_{k}^{*}\left(x_{k}\right) \end{aligned}qk(x1m)=(α1++αk)k=(k)!α1αk=qk(xk)
Now, the quotient map induces an isomorphism in H 2 n k H 2 n k H^(2nk)H^{2 n k}H2nk (as both have only one 2 k n 2 k n 2kn2 k n2kn-cell). We can say, x k = x 1 k / k x k = x 1 k / k x_(k)=x_(1)^(k)//kx_{k}=x_{1}^{k} / kxk=x1k/k !. We also know J k X J X J k X J X J_(k)X↪JXJ_{k} X \hookrightarrow J XJkXJX is homotopy equivalence and hence induce isomorphism in Cohomology ring. Thus we can say H ( J S 2 n ; Z ) H J S 2 n ; Z H^(**)(JS^(2n);Z)H^{*}\left(J \mathbb{S}^{2 n} ; \mathbb{Z}\right)H(JS2n;Z) is a Z Z Z\mathbb{Z}Z module with { x i / i ! } x i / i ! {x^(i)//i!}\left\{x^{i} / i !\right\}{xi/i!} are generators.
  • Even more can be said about H ( J S n ; Z ) H J S n ; Z H^(**)(JS^(n);Z)H^{*}\left(J \mathbb{S}^{n} ; \mathbb{Z}\right)H(JSn;Z), which is given by the following theorem:
Theorem 5.5. (James) If n n nnn is even, H ( J S n ; Z ) H J S n ; Z H^(**)(JS^(n);Z)H^{*}\left(J \mathbb{S}^{n} ; \mathbb{Z}\right)H(JSn;Z) is isomorphic to Γ Z [ x ] Γ Z [ x ] Gamma_(Z)[x]\Gamma_{\mathbb{Z}}[x]ΓZ[x] (defined above). If n n nnn is odd then H ( J S n ; Z ) H J S n ; Z H^(**)(JS^(n);Z)H^{*}\left(J \mathbb{S}^{n} ; \mathbb{Z}\right)H(JSn;Z) isomorphic to H ( S n ; Z ) H ( J S 2 n ; Z ) H S n ; Z H J S 2 n ; Z H^(**)(S^(n);Z)oxH^(**)(JS^(2n);Z)H^{*}\left(\mathbb{S}^{n} ; \mathbb{Z}\right) \otimes H^{*}\left(J \mathbb{S}^{2 n} ; \mathbb{Z}\right)H(Sn;Z)H(JS2n;Z) as a graded ring.
This James construction on S n S n S^(n)\mathbb{S}^{n}Sn will lead us to a beautiful proof of EHP sequence. Whitehead introduced this sequence of related to homotopy group of spheres. He proved that for n 1 n 1 n >= 1n \geq 1n1 there is an exact sequence of homotopy groups
π k ( S n ) E π k + 1 ( S n + 1 ) H π k + 1 ( S 2 n + 1 ) P π k 1 ( S n ) π k S n E π k + 1 S n + 1 H π k + 1 S 2 n + 1 P π k 1 S n cdots rarrpi_(k)(S^(n))rarr"E"pi_(k+1)(S^(n+1))rarr"H"pi_(k+1)(S^(2n+1))rarr"P"pi_(k-1)(S^(n))rarr cdots\cdots \rightarrow \pi_{k}\left(\mathbb{S}^{n}\right) \xrightarrow{E} \pi_{k+1}\left(\mathbb{S}^{n+1}\right) \xrightarrow{H} \pi_{k+1}\left(\mathbb{S}^{2 n+1}\right) \xrightarrow{P} \pi_{k-1}\left(\mathbb{S}^{n}\right) \rightarrow \cdotsπk(Sn)Eπk+1(Sn+1)Hπk+1(S2n+1)Pπk1(Sn)
Here E E EEE comes from the suspension (German word of suspension starts with E E EEE ) and H H HHH secretly comes from a Hopf fibration.
In homotopy theory we have the following two basic results relating to fibration.
  • We know for any fibration F E B F E B F↪E rarr BF \hookrightarrow E \rightarrow BFEB, there is a exact sequence of homotopy groups,
π k + 1 ( F ) π k + 1 ( E ) π k + 1 ( B ) π k ( F ) π k + 1 ( F ) π k + 1 ( E ) π k + 1 ( B ) π k ( F ) cdots rarrpi_(k+1)(F)rarrpi_(k+1)(E)rarrpi_(k+1)(B)rarrpi_(k)(F)cdots\cdots \rightarrow \pi_{k+1}(F) \rightarrow \pi_{k+1}(E) \rightarrow \pi_{k+1}(B) \rightarrow \pi_{k}(F) \cdotsπk+1(F)πk+1(E)πk+1(B)πk(F)
  • For any fibration, F E B F E B F↪E rarr BF \hookrightarrow E \rightarrow BFEB there is a fibre sequence
Ω F Ω E Ω B F E B Ω F Ω E Ω B F E B cdots rarr Omega F rarr Omega E rarr Omega B rarr F rarr E rarr B\cdots \rightarrow \Omega F \rightarrow \Omega E \rightarrow \Omega B \rightarrow F \rightarrow E \rightarrow BΩFΩEΩBFEB
Any triple in the above sequence will give us a long exact sequence on homotopy groups.
We would like to get a fibration/fibre sequence so that the EHP sequence will turn out to be the corresponding LES on those triple. Recall that we have the adjoint relation [ A , Ω X ] = [ Σ A , X ] [ A , Ω X ] = [ Σ A , X ] [A,Omega X]=[Sigma A,X][A, \Omega X]=[\Sigma A, X][A,ΩX]=[ΣA,X] it will give us,
π n + 1 ( S n + 1 ) = [ S n + 1 , S n + 1 ] = [ Σ S n , Σ S n ] = [ S n , Ω Σ S n ] π n + 1 S n + 1 = S n + 1 , S n + 1 = Σ S n , Σ S n = S n , Ω Σ S n {:[pi_(n+1)(S^(n+1))=[S^(n+1),S^(n+1)]],[=[SigmaS^(n),SigmaS^(n)]],[=[S^(n),Omega SigmaS^(n)]]:}\begin{aligned} \pi_{n+1}\left(\mathbb{S}^{n+1}\right) & =\left[\mathbb{S}^{n+1}, \mathbb{S}^{n+1}\right] \\ & =\left[\Sigma \mathbb{S}^{n}, \Sigma \mathbb{S}^{n}\right] \\ & =\left[\mathbb{S}^{n}, \Omega \Sigma \mathbb{S}^{n}\right] \end{aligned}πn+1(Sn+1)=[Sn+1,Sn+1]=[ΣSn,ΣSn]=[Sn,ΩΣSn]
since the homotopy group above is non-trivial, we must have a map f : S n Ω Σ S n = Ω S n + 1 f : S n Ω Σ S n = Ω S n + 1 f:S^(n)rarr Omega SigmaS^(n)=OmegaS^(n+1)f: \mathbb{S}^{n} \rightarrow \Omega \Sigma \mathbb{S}^{n}=\Omega \mathbb{S}^{n+1}f:SnΩΣSn=ΩSn+1. If we consider the homotopy fibre of the above map F F FFF.
Remark : Given any map f : X Y f : X Y f:X rarr Yf: X \rightarrow Yf:XY we can get a homotopy fibre of the map which is pull back of the following diagram
basically F = X × Y P Y F = X × Y P Y F=Xxx_(Y)PYF=X \times_{Y} P YF=X×YPY. It is the space of ( γ , x ) ( γ , x ) (gamma,x)(\gamma, x)(γ,x) where γ γ gamma\gammaγ is a path in Y Y YYY starts at the base point and ends at f ( x ) f ( x ) f(x)f(x)f(x).
Thus F S n Ω S n + 1 F S n Ω S n + 1 F rarrS^(n)rarr OmegaS^(n+1)F \rightarrow \mathbb{S}^{n} \rightarrow \Omega \mathbb{S}^{n+1}FSnΩSn+1 is a fibre sequence and the corresponding LES will be
π k + 1 ( F ) π k + 1 ( S n ) π k + 1 ( Ω S n + 1 ) π k ( F ) π k + 1 ( F ) π k + 1 S n π k + 1 Ω S n + 1 π k ( F ) pi_(k+1)(F)rarrpi_(k+1)(S^(n))rarrpi_(k+1)(OmegaS^(n+1))rarrpi_(k)(F)cdots\pi_{k+1}(F) \rightarrow \pi_{k+1}\left(\mathbb{S}^{n}\right) \rightarrow \pi_{k+1}\left(\Omega \mathbb{S}^{n+1}\right) \rightarrow \pi_{k}(F) \cdotsπk+1(F)πk+1(Sn)πk+1(ΩSn+1)πk(F)
comparing with the EHP sequence we guess π k 1 ( F ) π k + 1 ( S 2 n + 1 ) π k 1 ( F ) π k + 1 S 2 n + 1 pi_(k-1)(F)≃pi_(k+1)(S^(2n+1))\pi_{k-1}(F) \simeq \pi_{k+1}\left(\mathbb{S}^{2 n+1}\right)πk1(F)πk+1(S2n+1), we can guess F = Ω 2 S 2 n + 1 F = Ω 2 S 2 n + 1 F=Omega^(2)S^(2n+1)F=\Omega^{2} \mathbb{S}^{2 n+1}F=Ω2S2n+1. In-fact this is true. James construction gives us a map Ω S n + 1 Ω S 2 n + 1 Ω S n + 1 Ω S 2 n + 1 OmegaS^(n+1)rarr OmegaS^(2n+1)\Omega \mathbb{S}^{n+1} \rightarrow \Omega \mathbb{S}^{2 n+1}ΩSn+1ΩS2n+1, whose fibre is S n S n S^(n)\mathbb{S}^{n}Sn. We can note Ω 2 S 2 n + 1 S n Ω S n + 1 Ω 2 S 2 n + 1 S n Ω S n + 1 Omega^(2)S^(2n+1)rarrS^(n)rarr OmegaS^(n+1)\Omega^{2} \mathbb{S}^{2 n+1} \rightarrow \mathbb{S}^{n} \rightarrow \Omega \mathbb{S}^{n+1}Ω2S2n+1SnΩSn+1 is part of the fibre sequence of S n Ω S n + 1 Ω S 2 n + 1 S n Ω S n + 1 Ω S 2 n + 1 S^(n)↪OmegaS^(n+1)rarr OmegaS^(2n+1)\mathbb{S}^{n} \hookrightarrow \Omega \mathbb{S}^{n+1} \rightarrow \Omega \mathbb{S}^{2 n+1}SnΩSn+1ΩS2n+1.
James construction of a space X X XXX, call it J X J X JXJ XJX has the following properties:
(1) There is a map J X J X JXJ XJX to Ω Σ X Ω Σ X Omega Sigma X\Omega \Sigma XΩΣX, which is map of monoids. It takes e e eee to the constant loop and to the point x x xxx to the loop t ( x , t ) t ( x , t ) t|->(x,t)t \mapsto(x, t)t(x,t).
(2) If X X XXX is a CW-complex it gives us a homotopy equivalence J X htop Ω Σ X J X htop  Ω Σ X JX≃_("htop ")Omega Sigma XJ X \simeq_{\text {htop }} \Omega \Sigma XJXhtop ΩΣX (otherwise it is a weak equivalence).
(3) It can be shown that, Σ J X = i ( Σ ( X i ) ) Σ J X = i Σ X i Sigma JX=vvv_(i)(Sigma(X^(^^i)))\Sigma J X=\bigvee_{i}\left(\Sigma\left(X^{\wedge i}\right)\right)ΣJX=i(Σ(Xi))
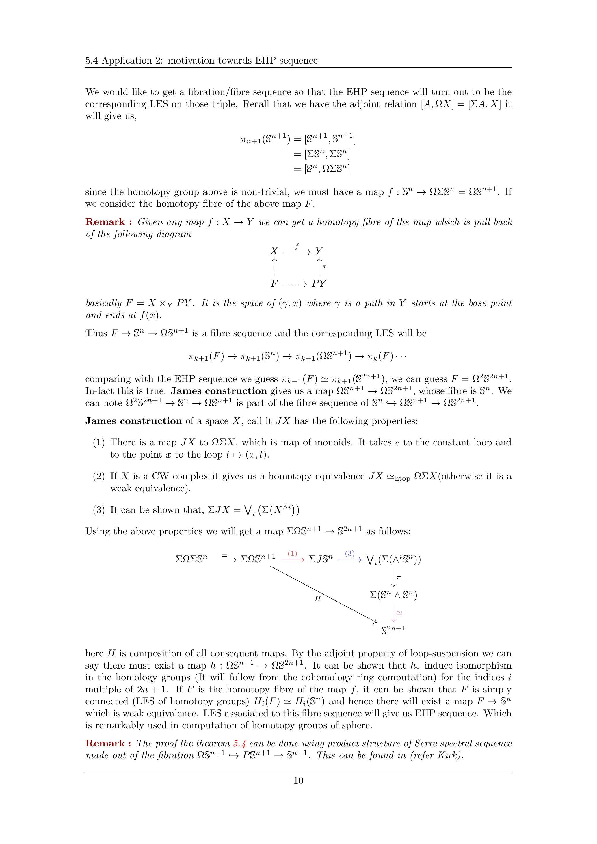
Using the above properties we will get a map Σ Ω S n + 1 S 2 n + 1 Σ Ω S n + 1 S 2 n + 1 Sigma OmegaS^(n+1)rarrS^(2n+1)\Sigma \Omega \mathbb{S}^{n+1} \rightarrow \mathbb{S}^{2 n+1}ΣΩSn+1S2n+1 as follows:
here H H HHH is composition of all consequent maps. By the adjoint property of loop-suspension we can say there must exist a map h : Ω S n + 1 Ω S 2 n + 1 h : Ω S n + 1 Ω S 2 n + 1 h:OmegaS^(n+1)rarr OmegaS^(2n+1)h: \Omega \mathbb{S}^{n+1} \rightarrow \Omega \mathbb{S}^{2 n+1}h:ΩSn+1ΩS2n+1. It can be shown that h h h_(**)h_{*}h induce isomorphism in the homology groups (It will follow from the cohomology ring computation) for the indices i i iii multiple of 2 n + 1 2 n + 1 2n+12 n+12n+1. If F F FFF is the homotopy fibre of the map f f fff, it can be shown that F F FFF is simply connected (LES of homotopy groups) H i ( F ) H i ( S n ) H i ( F ) H i S n H_(i)(F)≃H_(i)(S^(n))H_{i}(F) \simeq H_{i}\left(\mathbb{S}^{n}\right)Hi(F)Hi(Sn) and hence there will exist a map F S n F S n F rarrS^(n)F \rightarrow \mathbb{S}^{n}FSn which is weak equivalence. LES associated to this fibre sequence will give us EHP sequence. Which is remarkably used in computation of homotopy groups of sphere.
Remark : The proof the theorem 5.4 can be done using product structure of Serre spectral sequence made out of the fibration Ω S n + 1 P S n + 1 S n + 1 Ω S n + 1 P S n + 1 S n + 1 OmegaS^(n+1)↪PS^(n+1)rarrS^(n+1)\Omega \mathbb{S}^{n+1} \hookrightarrow P \mathbb{S}^{n+1} \rightarrow \mathbb{S}^{n+1}ΩSn+1PSn+1Sn+1. This can be found in (refer Kirk).

0.5. Application 3: Serre finiteness Condition

There is a deep connection between cohomology and spectral sequence. For those hearing the term 'spectral sequence', let me introduce it.
Definition 5.6. A cohomological spectral sequence is a sequence { E , r , d r } r > 0 E , r , d r r > 0 {E_(**,**)^(r),d_(r)}_(r > 0)\left\{E_{*, *}^{r}, d_{r}\right\}_{r>0}{E,r,dr}r>0 of co-chain complexes such that E , r + 1 = H ( E , r ) E , r + 1 = H E , r E_(**,**)^(r+1)=H^(**)(E_(**,**)^(r))E_{*, *}^{r+1}=H^{*}\left(E_{*, *}^{r}\right)E,r+1=H(E,r). In more details we have Abelian groups d p , q r : E p , q r d p , q r : E p , q r d_(p,q)^(r):E_(p,q)^(r)rarrd_{p, q}^{r}: E_{p, q}^{r} \rightarrowdp,qr:Ep,qr E p + r , q r + 1 r E p + r , q r + 1 r E_(p+r,q-r+1)^(r)E_{p+r, q-r+1}^{r}Ep+r,qr+1r, such that d r d r = 0 d r d r = 0 d^(r)@d^(r)=0d^{r} \circ d^{r}=0drdr=0 and
E p , q r + 1 := ker d p , q r Im d p r , p + r 1 r E p , q r + 1 := ker d p , q r Im d p r , p + r 1 r E_(p,q)^(r+1):=(ker d_(p,q)^(r))/(Im d_(p-r,p+r-1)^(r))E_{p, q}^{r+1}:=\frac{\operatorname{ker} d_{p, q}^{r}}{\operatorname{Im} d_{p-r, p+r-1}^{r}}Ep,qr+1:=kerdp,qrImdpr,p+r1r
We call a spectral sequence converges to H n H n H^(n)H^{n}Hn if for each n n nnn there is a filtration
H n = F 0 n F p n F n + 1 n = 0 H n = F 0 n F p n F n + 1 n = 0 H^(n)=F_(0)^(n)cdots supF_(p)^(n)cdots supF_(n+1)^(n)=0H^{n}=F_{0}^{n} \cdots \supset F_{p}^{n} \cdots \supset F_{n+1}^{n}=0Hn=F0nFpnFn+1n=0
such that E p , q = F p p + q / F p + 1 p + q E p , q = F p p + q / F p + 1 p + q E_(p,q)^(oo)=F_(p)^(p+q)//F_(p+1)^(p+q)E_{p, q}^{\infty}=F_{p}^{p+q} / F_{p+1}^{p+q}Ep,q=Fpp+q/Fp+1p+q. For this moment take this as the definition. Although spectral sequence comes very naturally from filtered complex, double complex, due to shortage of time we would not be able to go through that. Rather one can look at [?]. Now we will state a theorem by Larey and Serre.
Theorem 5.7. (Larey and Serre) Given a fibration F E B F E B F↪E rarr BF \hookrightarrow E \rightarrow BFEB, with F F FFF being the simply connected space there is a spectral sequence { E p , q r , d r } E p , q r , d r {E_(p,q)^(r),d^(r)}\left\{E_{p, q}^{r}, d^{r}\right\}{Ep,qr,dr} with E 2 E 2 E^(2)E^{2}E2-page
E p , q 2 = H p ( B ; H q ( F ) ) E p , q 2 = H p B ; H q ( F ) E_(p,q)^(2)=H^(p)(B;H^(q)(F))E_{p, q}^{2}=H^{p}\left(B ; H^{q}(F)\right)Ep,q2=Hp(B;Hq(F))
and E E E^(oo)E^{\infty}E converges to { H n ( E ) } H n ( E ) {H^(n)(E)}\left\{H^{n}(E)\right\}{Hn(E)}.
The above theorem helps us to define a product on the spectral sequence. Given a spectral sequence of cohomology we get a natural bilinear multiplication E p , q r × E s , t r E p + s , q + t r E p , q r × E s , t r E p + s , q + t r E_(p,q)^(r)xxE_(s,t)^(r)rarrE_(p+s,q+t)^(r)E_{p, q}^{r} \times E_{s, t}^{r} \rightarrow E_{p+s, q+t}^{r}Ep,qr×Es,trEp+s,q+tr satisfy the following properties,
  • The derivation d ( x y ) = d ( x ) y + ( 1 ) p + q x d ( y ) d ( x y ) = d ( x ) y + ( 1 ) p + q x d ( y ) d(xy)=d(x)y+(-1)^(p+q)xd(y)d(x y)=d(x) y+(-1)^{p+q} x d(y)d(xy)=d(x)y+(1)p+qxd(y).
  • The product E p , q 2 × E s , t 2 E p + s , q + t 2 E p , q 2 × E s , t 2 E p + s , q + t 2 E_(p,q)^(2)xxE_(s,t)^(2)rarrE_(p+s,q+t)^(2)E_{p, q}^{2} \times E_{s, t}^{2} \rightarrow E_{p+s, q+t}^{2}Ep,q2×Es,t2Ep+s,q+t2 is ( 1 ) q s ( 1 ) q s (-1)^(qs)(-1)^{q s}(1)qs times the standard cup product
H p ( B ; H q ( F ; Z ) ) × H r ( B ; H s ( F ; Z ) ) H p + r ( B ; H q + s ( F ; Z ) ) H p B ; H q ( F ; Z ) × H r B ; H s ( F ; Z ) H p + r B ; H q + s ( F ; Z ) H^(p)(B;H^(q)(F;Z))xxH^(r)(B;H^(s)(F;Z))rarrH^(p+r)(B;H^(q+s)(F;Z))H^{p}\left(B ; H^{q}(F ; \mathbb{Z})\right) \times H^{r}\left(B ; H^{s}(F ; \mathbb{Z})\right) \rightarrow H^{p+r}\left(B ; H^{q+s}(F ; \mathbb{Z})\right)Hp(B;Hq(F;Z))×Hr(B;Hs(F;Z))Hp+r(B;Hq+s(F;Z))
where the coefficient get multiplied by the cup product H q ( F ; Z ) × H s ( F ; Z ) H q + s ( F ; Z ) H q ( F ; Z ) × H s ( F ; Z ) H q + s ( F ; Z ) H^(q)(F;Z)xxH^(s)(F;Z)rarrH^(q+s)(F;Z)H^{q}(F ; \mathbb{Z}) \times H^{s}(F ; \mathbb{Z}) \rightarrow H^{q+s}(F ; \mathbb{Z})Hq(F;Z)×Hs(F;Z)Hq+s(F;Z).
  • The cup product H ( X ; Z ) H ( X ; Z ) H^(**)(X;Z)H^{*}(X ; \mathbb{Z})H(X;Z) restricts to maps F p p + q × F r r + s F p + r p + q + r + s F p p + q × F r r + s F p + r p + q + r + s F_(p)^(p+q)xxF_(r)^(r+s)rarrF_(p+r)^(p+q+r+s)F_{p}^{p+q} \times F_{r}^{r+s} \rightarrow F_{p+r}^{p+q+r+s}Fpp+q×Frr+sFp+rp+q+r+s it induces a map in quotients and hence there is a product structure in E E E^(oo)E^{\infty}E.
Remark : The above theorems, product structure is true if we take the coefficient ring to be any arbitrary ring R R RRR. There is also similar kind of theorem for the homology groups, but since the product structure in cohomology ring is more clear we will only talk about Serre cohomology spectral sequence.
Recall k ( Z , n ) k ( Z , n ) k(Z,n)k(\mathbb{Z}, n)k(Z,n) denotes the Eilenberg-Maclane space whose, n n nnn-th homotopy group is Z Z Z\mathbb{Z}Z and rest homotopy groups are trivial. It can be shown (very easily) H ( K ( Z , n ) ; Q ) H ( K ( Z , n ) ; Q ) H^(**)(K(Z,n);Q)H^{*}(K(\mathbb{Z}, n) ; \mathbb{Q})H(K(Z,n);Q) is isomorphic to the polynomial ring Q [ x ] Q [ x ] Q[x]\mathbb{Q}[x]Q[x]. In-fact we could do th calculation quickly. (Calculation)
Note that [ S n , k ( Z , n ) ] Z S n , k ( Z , n ) Z [S^(n),k(Z,n)]≃Z\left[\mathbb{S}^{n}, k(\mathbb{Z}, n)\right] \simeq \mathbb{Z}[Sn,k(Z,n)]Z thus there must exist a map f : S n k ( Z , n ) f : S n k ( Z , n ) f:S^(n)rarr k(Z,n)f: \mathbb{S}^{n} \rightarrow k(\mathbb{Z}, n)f:Snk(Z,n) which is not nullhomotopic. We know any continous map can be decomposed as a homotopy equivalence and a fibration.
Thus in the above picture we have a fibre sequence F X k ( Z , n ) F X k ( Z , n ) F↪X rarr k(Z,n)F \hookrightarrow X \rightarrow k(\mathbb{Z}, n)FXk(Z,n) and if we can calulate the homotopy group ( π i ( F ) ) π i ( F ) (pi_(i)(F))\left(\pi_{i}(F)\right)(πi(F)) of F F FFF it will be trivial for i n i n i <= ni \leq nin and it is isomorphic to the homotopy group of X X XXX (i.e S n S n S^(n)\mathbb{S}^{n}Sn ) for i > n i > n i > ni>ni>n. corresponding the inclusion F X F X F↪XF \hookrightarrow XFX there is again a fibre sequence,
Again from the long exact sequence it can be shown F ^ F ^ hat(F)\hat{F}F^ is k ( Z , n 1 ) k ( Z , n 1 ) k(Z,n-1)k(\mathbb{Z}, n-1)k(Z,n1). Upto homotopy the above fibre sequence in equivalent to the sequence in the right side. If n n nnn is odd and n > 1 n > 1 n > 1n>1n>1 we can see k ( Z , n 1 ) k ( Z , n 1 ) k(Z,n-1)k(\mathbb{Z}, n-1)k(Z,n1) is simply connected and by Larey Serre theorem there is a spectral sequence coefficient in Q Q Q\mathbb{Q}Q with
E p , q 2 = H p ( k ( Z , n 1 ) , H q ( S n ; Q ) ) E p , q 2 = H p k ( Z , n 1 ) , H q S n ; Q E_(p,q)^(2)=H^(p)(k(Z,n-1),H^(q)(S^(n);Q))E_{p, q}^{2}=H^{p}\left(k(\mathbb{Z}, n-1), H^{q}\left(\mathbb{S}^{n} ; \mathbb{Q}\right)\right)Ep,q2=Hp(k(Z,n1),Hq(Sn;Q))
now note that, E n , 0 2 Q E n , 0 2 Q E_(n,0)^(2)≃QE_{n, 0}^{2} \simeq \mathbb{Q}En,02Q and E k ( n 1 ) , 0 2 Q E k ( n 1 ) , 0 2 Q E_(k(n-1),0)^(2)≃QE_{k(n-1), 0}^{2} \simeq \mathbb{Q}Ek(n1),02Q and rest are zero. So till n n nnn-th page these will remain unchanged. Now E n E n E^(n)E^{n}En ( n n nnn-th page looks like the following),
where d n : Q a Q x d n : Q a Q x d^(n):Qa rarrQxd^{n}: \mathbb{Q} a \rightarrow \mathbb{Q} xdn:QaQx will be isomorphism. Otherwise, this map will be a zero map then Q a Q a Qa\mathbb{Q} aQa survives till E E E^(oo)E^{\infty}E but since F F F\mathscr{F}F is ( n 1 ) ( n 1 ) (n-1)(n-1)(n1) connected it's ( n 1 ) ( n 1 ) (n-1)(n-1)(n1) homology groups must be trivial (by Hurewicz theorem) and hence ( n 1 n 1 n-1n-1n1 ) cohomology is trivial. Thus d n d n d^(n)d^{n}dn will be an isomorphism. By the product structure we can say Q a 2 Q a x Q a 2 Q a x Qa^(2)rarrQax\mathbb{Q} a^{2} \rightarrow \mathbb{Q} a xQa2Qax is an isomorphism and hence at ( n + 1 ) ( n + 1 ) (n+1)(n+1)(n+1)-page every thing is trivial. So, for higher i > n i > n i > ni>ni>n we must have, H ( F ) H ( F ) H^(**)(F)H^{*}(F)H(F) are trivial and hence homology groups are also trivial. Thus, π i ( F ) Z π i ( F ) Z pi_(i)(F)oxZ\pi_{i}(F) \otimes \mathbb{Z}πi(F)Z are trivial. SO, π i ( S n ) π i S n pi_(i)(S^(n))\pi_{i}\left(\mathbb{S}^{n}\right)πi(Sn) must contain the torsion part only. Since π i ( S n ) π i S n pi_(i)(S^(n))\pi_{i}\left(\mathbb{S}^{n}\right)πi(Sn) finitely generated we can say, π i ( S n ) π i S n pi_(i)(S^(n))\pi_{i}\left(\mathbb{S}^{n}\right)πi(Sn) are finite. Using EHP sequence we can say except for π 4 k 1 ( S 2 k ) π 4 k 1 S 2 k pi_(4k-1)(S^(2k))\pi_{4 k-1}\left(\mathbb{S}^{2 k}\right)π4k1(S2k) every π i ( S n ) π i S n pi_(i)(S^(n))\pi_{i}\left(\mathbb{S}^{n}\right)πi(Sn) is finite for i > n i > n i > ni>ni>n. This is Serre's finiteness condition.
Theorem 5.8. (Serre) Except for π 4 k 1 ( S 2 k ) π 4 k 1 S 2 k pi_(4k-1)(S^(2k))\pi_{4 k-1}\left(\mathbb{S}^{2 k}\right)π4k1(S2k) every π i ( S n ) π i S n pi_(i)(S^(n))\pi_{i}\left(\mathbb{S}^{n}\right)πi(Sn) is finite for i > n i > n i > ni>ni>n.